新闻中心
联系我们
咨询热线:0755-23030285
手机:13902442195
邮箱:13902442195@163.com
网址:www.fuguangyuan1688.com
地址:广东省深圳市宝安区沙井镇沙三村沙三路44-11号
产品详情
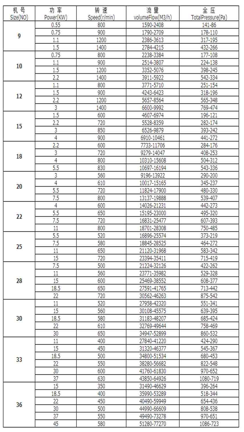
FDT(柜式)低噪音离心通风机吸取国内各柜式风机的长处,结合我公司多年来风柜之精心研制与改良,以精湛的先进技术和丰富的经验设计及优良的机械结构制造而成。其外壳采用玻璃钢复合材质,增加耐腐蚀性。提高风机的整体防腐蚀性能、抗老化性能。该系列风机具有整体设计美观大方、风量大、机械振动小、噪音低、不易老化、寿命长等特点。广泛应用于宾馆、洒楼厨房、商场、影剧院、写字楼、地下室、中央空调、工程制冷等场所。












